Polar equation to top cartesian
Polar equation to top cartesian, Converting Polar Coordinates top
$0 today, followed by 3 monthly payments of $11.67, interest free. Read More
Polar equation to top cartesian
Converting Polar Coordinates
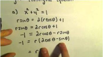
Lesson 163 Conversion between Polar and Cartesian Coordinates
Converting Polar Equation to Cartesian Equation Channels for
Convert Cartesian Rectangular Coordinates to Polar Coordinates
Polar Coordinate System 11.3 Polar Coordinates Used to plot and
Polar Coordinates Cuemath
doclantraumatologia.com
Product Name: Polar equation to top cartesianSection 10.3 Converting between Polar and Cartesian equations top, How to convert polar equation r sin 2a to the cartesian form top, Cartesian Equation Converting Polar To Cartesian top, Convert a polar equation to a cartesian equation circle top, Converting from Cartesian to Polar Form top, Converting Polar Coordinates top, Converting Cartesian Coordinates into Polar Coordinates top, high school math how can I turn this cartesian equation into a top, Transformation from Polar to Cartesian Coordinates top, How to Convert Polar to Cartesian Coordinates top, Solved Polar to Cartesian Equations Replace the polar Chegg top, Converting Polar Coordinates top, Lesson 163 Conversion between Polar and Cartesian Coordinates top, Converting Polar Equation to Cartesian Equation Channels for top, Convert Cartesian Rectangular Coordinates to Polar Coordinates top, Polar Coordinate System 11.3 Polar Coordinates Used to plot and top, Polar Coordinates Cuemath top, Lesson 163 Conversion between Polar and Cartesian Coordinates top, Equation of a circle in polar form General equation of a circle top, Converting from Cartesian to Polar Coordinates Key Stage 3 top, Rectangular and Polar Coordinates top, SOLVED Convert the following Cartesian equation into a polar top, How to transform the equation in Cartesian coordinates into the top, Solved A curve with polar equation represents a line. This Chegg top, SOLVED Rewrite the Cartesian equation y 7 x 2 as a polar equation top, Rectangular Equation to Polar Equations Precalculus Examples and Practice Problems top, Polar vs. Cartesian Coordinates top, Polar coordinate system Wikipedia top, Solved Below you are six Cartesian equations and four polar top, Converting Between Polar And Cartesian Equations Worksheet top, PPT Do Now 18 on p.558 PowerPoint Presentation free download top, Transforming Equations between Polar and Rectangular Forms top, Basic How to Convert Cartesian to Polar Coordinates YouTube top, Polar Coordinates Cuemath top, SOLVED Rewrite the polar equation r 2 cos 0 as a Cartesian top.
-
Next Day Delivery by DPD
Find out more
Order by 9pm (excludes Public holidays)
$11.99
-
Express Delivery - 48 Hours
Find out more
Order by 9pm (excludes Public holidays)
$9.99
-
Standard Delivery $6.99 Find out more
Delivered within 3 - 7 days (excludes Public holidays).
-
Store Delivery $6.99 Find out more
Delivered to your chosen store within 3-7 days
Spend over $400 (excluding delivery charge) to get a $20 voucher to spend in-store -
International Delivery Find out more
International Delivery is available for this product. The cost and delivery time depend on the country.
You can now return your online order in a few easy steps. Select your preferred tracked returns service. We have print at home, paperless and collection options available.
You have 28 days to return your order from the date it’s delivered. Exclusions apply.
View our full Returns and Exchanges information.
Our extended Christmas returns policy runs from 28th October until 5th January 2025, all items purchased online during this time can be returned for a full refund.
Find similar items here:
Polar equation to top cartesian
- polar equation to cartesian
- stainless steel wok pan
- find the range of the data
- table to equation calculator
- square root of complex number calculator
- find the equation of the tangent line at the given point
- gotham steel pro pan
- find degree of polynomial
- tefal frying pan 32cm
- sin and cos calculator